SOLUTION: How do you solve the following problem? (x+2)/(x-6)- (x^2+5x+14)/(x^2-2x-24)
Algebra
->
Polynomials-and-rational-expressions
-> SOLUTION: How do you solve the following problem? (x+2)/(x-6)- (x^2+5x+14)/(x^2-2x-24)
Log On
Algebra: Polynomials, rational expressions and equations
Section
Solvers
Solvers
Lessons
Lessons
Answers archive
Answers
Click here to see ALL problems on Polynomials-and-rational-expressions
Question 913802
:
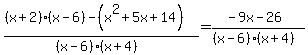
How do you solve the following problem?
(x+2)/(x-6)- (x^2+5x+14)/(x^2-2x-24)
Answer by
ewatrrr(24785)
(
Show Source
):
You can
put this solution on YOUR website!
LCD is (x-6)(x+4