SOLUTION: simplify (-2x)^-6 show work
Algebra
->
Polynomials-and-rational-expressions
-> SOLUTION: simplify (-2x)^-6 show work
Log On
Algebra: Polynomials, rational expressions and equations
Section
Solvers
Solvers
Lessons
Lessons
Answers archive
Answers
Click here to see ALL problems on Polynomials-and-rational-expressions
Question 911890
:
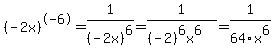
simplify
(-2x)^-6
show work
Answer by
MathLover1(20850)
(
Show Source
):
You can
put this solution on YOUR website!