SOLUTION: reduce the rational expression to its lowest term: x subtract x squared divided by x squared plus x subtract 2? x-x^2/x^2+x-2=??

Algebra ->  Polynomials-and-rational-expressions -> SOLUTION: reduce the rational expression to its lowest term: x subtract x squared divided by x squared plus x subtract 2? x-x^2/x^2+x-2=??      Log On


   



Question 910631: reduce the rational expression to its lowest term: x subtract x squared divided by x squared plus x subtract 2?
x-x^2/x^2+x-2=??

Answer by josgarithmetic(39618) About Me  (Show Source):
You can put this solution on YOUR website!
reduce the rational expression to its lowest term: x subtract x squared divided by x squared plus x subtract 2?
x-x^2/x^2+x-2=??

No. Not that.

THIS:
(x-x^2)/(x^2+x-2)

Which becomes this when the rendering tagging is used:
%28x-x%5E2%29%2F%28x%5E2%2Bx-2%29

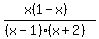
%28x%281-x%29%29%2F%28%28x-1%29%28x%2B2%29%29

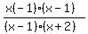
%28x%28-1%29%28x-1%29%29%2F%28%28x-1%29%28x%2B2%29%29

%28x%28-1%29cross%28%28x-1%29%29%29%2F%28cross%28%28x-1%29%29%28x%2B2%29%29