SOLUTION: please help me set up and solve this problem and simplify 2/5x-45 + x/x^2-81

Algebra ->  Polynomials-and-rational-expressions -> SOLUTION: please help me set up and solve this problem and simplify 2/5x-45 + x/x^2-81      Log On


   



Question 90993: please help me set up and solve this problem and simplify
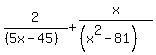
2/5x-45 + x/x^2-81

Answer by ankor@dixie-net.com(22740) About Me  (Show Source):
You can put this solution on YOUR website!
you can't solve this, it is not an equation, (no equal sign), but you can simplify
:
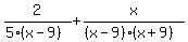
2%2F%28%285x-45%29%29+%2B+x%2F%28%28x%5E2-81%29%29
:
Factor, (x^2-81 is the difference of squares):
2%2F%285%28x-9%29%29+%2B+x%2F%28%28x-9%29%28x%2B9%29%29%29
:
Mult each term by the common denominator 5(x-9)(x+9), resulting in:
%282%28x%2B9%29+%2B+5x%29%2F%285%28x%2B9%29%28x-9%29%29
:
%282x%2B18+%2B+5x%29%2F%285%28x%2B9%29%28x-9%29%29
:
%287x%2B18%29%2F%285%28x%2B9%29%28x-9%29%29; about all you can do with it