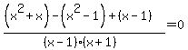
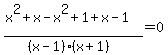
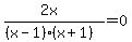
SOLUTION: x/(x-1)=1-1/(1+x)
Algebra
->
Polynomials-and-rational-expressions
-> SOLUTION: x/(x-1)=1-1/(1+x)
Log On
Algebra: Polynomials, rational expressions and equations
Section
Solvers
Solvers
Lessons
Lessons
Answers archive
Answers
Click here to see ALL problems on Polynomials-and-rational-expressions
Question 909385
:
x/(x-1)=1-1/(1+x)
Answer by
Fombitz(32388)
(
Show Source
):
You can
put this solution on YOUR website!