SOLUTION: Still kind of confused on Factoring. This problem I have an answer for but would like you to work it out so I can see the steps and if I did it correctly, thank you
8y^3 + 40y^2
Algebra ->
Polynomials-and-rational-expressions
-> SOLUTION: Still kind of confused on Factoring. This problem I have an answer for but would like you to work it out so I can see the steps and if I did it correctly, thank you
8y^3 + 40y^2
Log On
Question 908446: Still kind of confused on Factoring. This problem I have an answer for but would like you to work it out so I can see the steps and if I did it correctly, thank you
8y^3 + 40y^2 - 16y Answer by josmiceli(19441) (Show Source):
You can put this solution on YOUR website!
Factor out from each term
-----------------------
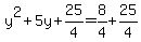
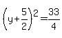
I have 2 factors now, but I can
make it into 3 factors by solving
the quadratic
I'm not sure if that's needed,
but anyway:
You can finish if you need to.
I'm guessing that it's not required here