SOLUTION: Pl help in writing a rational expression such that Question 1. A. Vertical Asymptote x=1 B. slant asymptote is y=x C. Y intercept at 2 D. X intercepts at -1 and 2 Ques

Algebra ->  Polynomials-and-rational-expressions -> SOLUTION: Pl help in writing a rational expression such that Question 1. A. Vertical Asymptote x=1 B. slant asymptote is y=x C. Y intercept at 2 D. X intercepts at -1 and 2 Ques      Log On


   



Question 893149: Pl help in writing a rational expression such that
Question 1.
A. Vertical Asymptote x=1
B. slant asymptote is y=x
C. Y intercept at 2
D. X intercepts at -1 and 2
Question 2.
A. Vertical Asymptote: x= -2 and x=2
B. Horizontal Asymptote: Y=2
C. Y intercept = 9/2
D. X intercepts at -3 and 3
E. Expression has Y axix symmetry
Thank you

Answer by lwsshak3(11628) About Me  (Show Source):
You can put this solution on YOUR website!
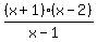
Question 1.
A. Vertical Asymptote x=1
B. slant asymptote is y=x
C. Y intercept at 2
D. X intercepts at -1 and 2
equation: %28x%2B1%29%28x-2%29%2F%28x-1%29
Question 2.
A. Vertical Asymptote: x= -2 and x=2
B. Horizontal Asymptote: Y=2
C. Y intercept = 9/2
D. X intercepts at -3 and 3
Equation:2%28x%2B3%29%28x-3%29%2F%28x%2B2%29%28x-2%29
Check answers by punching equations into a graphing calculator or a computer graphing program.