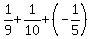
SOLUTION: A bathtub can be filled by the cold water faucet in 9 minutes and by the hot water faucet in 10 minutes. the drain can empty the tub in 5 minutes. can the tub be filled if both fau
Algebra ->
Polynomials-and-rational-expressions
-> SOLUTION: A bathtub can be filled by the cold water faucet in 9 minutes and by the hot water faucet in 10 minutes. the drain can empty the tub in 5 minutes. can the tub be filled if both fau
Log On
Question 887206: A bathtub can be filled by the cold water faucet in 9 minutes and by the hot water faucet in 10 minutes. the drain can empty the tub in 5 minutes. can the tub be filled if both faucets and the drain are open? Answer by josgarithmetic(39620) (Show Source):