SOLUTION: I need help please. I need to write this as a single rational expression: 2t^3/9a^2d^2-dz/12a^3b^2 Thank you so much!!!

Algebra ->  Polynomials-and-rational-expressions -> SOLUTION: I need help please. I need to write this as a single rational expression: 2t^3/9a^2d^2-dz/12a^3b^2 Thank you so much!!!      Log On


   



Question 88719: I need help please. I need to write this as a single rational expression:
2t^3/9a^2d^2-dz/12a^3b^2 Thank you so much!!!

Answer by ankor@dixie-net.com(22740) About Me  (Show Source):
You can put this solution on YOUR website!
2t^3/9a^2d^2-dz/12a^3b^2
:
Assume you mean (a couple brackets here would help)
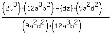
%282t%5E3%29%2F%289a%5E2d%5E2%29 - %28dz%29%2F%2812a%5E3b%5E2%29
:
The common denominator: %289a%5E2d%5E2%29%2812a%5E3b%5E2%29
:

:
Combine like terms:
%28%2824a%5E3b%5E2t%5E3%29+-+%289a%5E2d%5E3z%29%29%2F%28108a%5E5b%5E2d%5E2%29 = %28%288a%5E3b%5E2t%5E3%29+-+%283a%5E2d%5E3z%29%29%2F%2836a%5E5b%5E2d%5E2%29: reduce the numerical portions, canceled out 3
:
%28%288ab%5E2t%5E3%29+-+%283d%5E3z%29%29%2F%2836a%5E3b%5E2d%5E2%29: reduce, canceled out a^2
:
I think that is about all you can do with it