SOLUTION: If f(x) be a quadratic polynomial such that f(2) = -3 and f(-2) = 21 find the coefficient of 'x' in f(x)
Algebra
->
Polynomials-and-rational-expressions
-> SOLUTION: If f(x) be a quadratic polynomial such that f(2) = -3 and f(-2) = 21 find the coefficient of 'x' in f(x)
Log On
Algebra: Polynomials, rational expressions and equations
Section
Solvers
Solvers
Lessons
Lessons
Answers archive
Answers
Click here to see ALL problems on Polynomials-and-rational-expressions
Question 886338
:
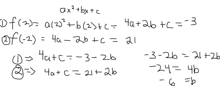
If f(x) be a quadratic polynomial such that f(2) = -3 and f(-2) = 21 find the coefficient of 'x' in f(x)
Answer by
fcabanski(1391)
(
Show Source
):
You can
put this solution on YOUR website!