SOLUTION: Write a third degree polynomial equation with real coefficients having zeros at (3-i), (3+i, and 1

Algebra ->  Polynomials-and-rational-expressions -> SOLUTION: Write a third degree polynomial equation with real coefficients having zeros at (3-i), (3+i, and 1      Log On


   



Question 881760: Write a third degree polynomial equation with real coefficients having zeros at (3-i), (3+i, and 1
Answer by josgarithmetic(39625) About Me  (Show Source):
You can put this solution on YOUR website!
%28x-%283-i%29%29%28x-%283%2Bi%29%29%28x-1%29
%28x-3%2Bi%29%28x-3-i%29%28x-1%29
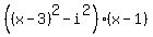
%28%28x-3%29%5E2-i%5E2%29%28x-1%29
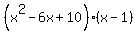
%28x%5E2-6x%2B9%2B1%29%28x-1%29
%28x%5E2-6x%2B10%29%28x-1%29
Multiply further if wanted.