SOLUTION: Could someone PLEASE help me with this one? I don't know what my problem is but I continue to get different answers! 14x-4/x^2+3x-4*x^2+6x+8/2x^2+5x-3*x^2+2x-3/x^2+2x Thanks

Algebra ->  Polynomials-and-rational-expressions -> SOLUTION: Could someone PLEASE help me with this one? I don't know what my problem is but I continue to get different answers! 14x-4/x^2+3x-4*x^2+6x+8/2x^2+5x-3*x^2+2x-3/x^2+2x Thanks       Log On


   



Question 88157: Could someone PLEASE help me with this one? I don't know what my problem is but I continue to get different answers!
14x-4/x^2+3x-4*x^2+6x+8/2x^2+5x-3*x^2+2x-3/x^2+2x
Thanks in advance for your help!!!

Answer by longjonsilver(2297) About Me  (Show Source):
You can put this solution on YOUR website!
you need to start using brackets to group things together as your expression is one long list and very difficult to understand.

I am assuming you meant the following (after deciphering it for about 5 minutes):

which, in effect, is just:

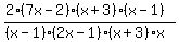
Now we need to start factorising these 6 expressions where possible.




and now we can cancel out anything that appears on the top and bottom:

+%28+2%287x-2%29%28x%2B3%29%28x-1%29+%29%2F%28+%28x-1%29%282x-1%29%28x%2B3%29x+%29+
+%28+2%287x-2%29%28x-1%29+%29%2F%28+%28x-1%29%282x-1%29x+%29+
+%28+2%287x-2%29+%29%2F%28+%282x-1%29x+%29+

so the final version is +%28+2%287x-2%29+%29%2F%28+x%282x-1%29+%29+
cheers
Jon