SOLUTION: Find all real solutions of the equation. sqrt(r)+ sqrt(r+8)=6 I'm lost. I've gotten to r=36-4sqrt(r+2) + (r+2) and I'm not even sure I'm going in the right direction.

Algebra ->  Polynomials-and-rational-expressions -> SOLUTION: Find all real solutions of the equation. sqrt(r)+ sqrt(r+8)=6 I'm lost. I've gotten to r=36-4sqrt(r+2) + (r+2) and I'm not even sure I'm going in the right direction.       Log On


   



Question 881507: Find all real solutions of the equation.
sqrt(r)+ sqrt(r+8)=6

I'm lost. I've gotten to r=36-4sqrt(r+2) + (r+2) and I'm not even sure I'm going in the right direction.
Thanks!
Alicia

Answer by josgarithmetic(39618) About Me  (Show Source):
You can put this solution on YOUR website!
You will need to square both sides TWICE.

More than one way to solve, but here is maybe the easier way:

sqrt%28r%29-6%2Bsqrt%28r%2B8%29=6-6
sqrt%28r%29-6%2Bsqrt%28r%2B8%29-sqrt%28r%2B8%29=0-sqrt%28r%2B8%29
sqrt%28r%29-6=-sqrt%28r%2B8%29
Square both sides.
r-2%2A6%2Asqrt%28r%29%2B36=r%2B8
-12sqrt%28r%29%2B36=8
-12sqrt%28r%29=8-36
-12sqrt%28r%29=-28
Squ.................. not yet.
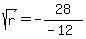
sqrt%28r%29=-28%2F%28-12%29
sqrt%28r%29=7%2F3
highlight%28r=49%2F9%29


CHECK:
sqrt%28r%29%2B+sqrt%28r%2B8%29=6
sqrt%2849%2F9%29%2Bsqrt%2849%2F9%2B8%29=6
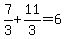
7%2F3%2Bsqrt%28%2849%2B72%29%2F9%29=67%2F3%2Bsqrt%28121%2F9%29=6
7%2F3%2B11%2F3=6
18%2F3=6 YES.