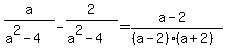
SOLUTION: SIMPLIFY SHOW FACTORING CANCELLING AND THE STEPS TO FIND THE LOWEST COMMON DENOMINATOR. ASSUME THAT NO DENOMINATOR IS 0 a/a^2-4 - 2/a^2-4

Algebra ->  Polynomials-and-rational-expressions -> SOLUTION: SIMPLIFY SHOW FACTORING CANCELLING AND THE STEPS TO FIND THE LOWEST COMMON DENOMINATOR. ASSUME THAT NO DENOMINATOR IS 0 a/a^2-4 - 2/a^2-4      Log On


   



Question 878138: SIMPLIFY SHOW FACTORING CANCELLING AND THE STEPS TO FIND THE LOWEST COMMON DENOMINATOR. ASSUME THAT NO DENOMINATOR IS 0
a/a^2-4 - 2/a^2-4

Answer by Fombitz(32388) About Me  (Show Source):