SOLUTION: Please help me to solve the following problem: Perform the indicated operation: x^3-1/x^2+1 divided by 9x^2+9x+9/x^2-x Thank you very much!

Algebra ->  Polynomials-and-rational-expressions -> SOLUTION: Please help me to solve the following problem: Perform the indicated operation: x^3-1/x^2+1 divided by 9x^2+9x+9/x^2-x Thank you very much!       Log On


   



Question 87273: Please help me to solve the following problem:
Perform the indicated operation:
x^3-1/x^2+1 divided by 9x^2+9x+9/x^2-x

Thank you very much!

Answer by ankor@dixie-net.com(22740) About Me  (Show Source):
You can put this solution on YOUR website!
Perform the indicated operation:
x^3-1/x^2+1 divided by 9x^2+9x+9/x^2-x
:
%28%28x%5E3-1%29%29%2F%28%28x%5E2%2B1%29%29
-------------
%28%289x%5E2%2B9x%2B9%29%29%2F%28%28x%5E2-x%29%29
:
(x^3-1) can be factored as the difference of cubes; factor out common terms:
%28%28x-1%29%28x%5E2%2Bx%2B1%29%29%2F%28%28x%5E2%2B1%29%29
-------------
%289%28x%5E2%2Bx%2B1%29%29%2F%28x%28x-1%29%29
:
When you divide fractions, invert the dividing fraction and multiply:
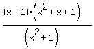
%28%28x-1%29%28x%5E2%2Bx%2B1%29%29%2F%28%28x%5E2%2B1%29%29 * %28x%28x-1%29%29%2F%289%28x%5E2%2Bx%2B1%29%29; cancel (x^2+x+1)
:
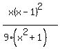
%28%28x-1%29%29%2F%28%28x%5E2%2B1%29%29 * %28x%28x-1%29%29%2F9%29 = %28x%28x-1%29%5E2%29%2F%289%28x%5E2%2B1%29%29; Thats about all you can do with it.
:
Did this help you?