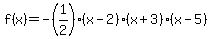
SOLUTION: Find a polynomial function f(x) of degree 3 with real coefficients that satisfies the given conditions. Zeros of 2, -3, and 5; f(3)=6
Algebra
->
Polynomials-and-rational-expressions
-> SOLUTION: Find a polynomial function f(x) of degree 3 with real coefficients that satisfies the given conditions. Zeros of 2, -3, and 5; f(3)=6
Log On
Algebra: Polynomials, rational expressions and equations
Section
Solvers
Solvers
Lessons
Lessons
Answers archive
Answers
Click here to see ALL problems on Polynomials-and-rational-expressions
Question 863573
:
Find a polynomial function f(x) of degree 3 with real coefficients that satisfies the given conditions. Zeros of 2, -3, and 5; f(3)=6
Answer by
Fombitz(32388)
(
Show Source
):
You can
put this solution on YOUR website!