SOLUTION: Please help me solve this equation: x+2/x+7 +4x-3/x^2+4x-21 + x-1/x-3 The factors I got are (x+7)(x-2). I multiplied to get the same denominators then simplified and got 2x^2+

Algebra ->  Polynomials-and-rational-expressions -> SOLUTION: Please help me solve this equation: x+2/x+7 +4x-3/x^2+4x-21 + x-1/x-3 The factors I got are (x+7)(x-2). I multiplied to get the same denominators then simplified and got 2x^2+      Log On


   



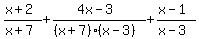
Question 856842: Please help me solve this equation:
x+2/x+7 +4x-3/x^2+4x-21 + x-1/x-3
The factors I got are (x+7)(x-2). I multiplied to get the same denominators then simplified and got 2x^2+7x-30/(x+7)(x-2).
Thank you for your help!!

Answer by mananth(16946) About Me  (Show Source):