SOLUTION: Hi help me please show all work! Solve Each Trinomial Thank you! x^2+11x+30

Algebra ->  Polynomials-and-rational-expressions -> SOLUTION: Hi help me please show all work! Solve Each Trinomial Thank you! x^2+11x+30      Log On


   



Question 850953: Hi help me please show all work!
Solve Each Trinomial Thank you!
x^2+11x+30

Found 2 solutions by jim_thompson5910, josmiceli:
Answer by jim_thompson5910(35256) About Me  (Show Source):
You can put this solution on YOUR website!
I'm assuming you want to factor.

x%5E2%2B11x%2B30

x%5E2%2B5x%2B6x%2B30 Note: 5 and 6 add to 11 and multiply to 30

%28x%5E2%2B5x%29%2B%286x%2B30%29

x%28x%2B5%29%2B%286x%2B30%29

x%28x%2B5%29%2B6%28x%2B5%29

%28x%2B6%29%28x%2B5%29


---------------------------------------------------------------------------

x%5E2%2B11x%2B30

completely factors to

%28x%2B6%29%28x%2B5%29

Answer by josmiceli(19441) About Me  (Show Source):
You can put this solution on YOUR website!
+x%5E2+%2B+11x+%2B+30+=+0+
( it is set to zero to finds the roots )
Subtract +30+ from both sides
+x%5E2+%2B+11x+=+-30+
---------------------
To complete the square, take 1/2 of
the coefficient of the +x+ term,
square it, and add it to both sides
------------------------------
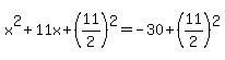
+x%5E2+%2B+11x+%2B+%28+11%2F2+%29%5E2+=+-30+%2B+%2811%2F2+%29%5E2+
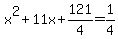
+x%5E2+%2B+11x+%2B+121%2F4++=+-120%2F4+%2B+121%2F4+
+x%5E2+%2B+11x+%2B+121%2F4++=+1%2F4+
+%28+x+%2B+11%2F2+%29%5E2+=+%281%2F2%29%5E2+
Take the square root of both sides
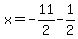
+x+%2B+11%2F2+=+1%2F2+
+x+=+-11%2F2+%2B+1%2F2+
+x+=+-5+
and, also
+x+=+-11%2F2+-+1%2F2+
+x+=+-6+
-------------
+x+%2B+5+=+0+
+x+%2B+6+=+0+
+%28+x+%2B+5+%29%2A%28+x+%2B+6+%29+=+0%0D%0A%7B%7B%7B+x%5E2+%2B+11x+%2B+30+=+0+
OK
the solutions are
+x+=+-5+
+x+=+-6+