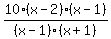
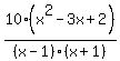
SOLUTION: How do I do this problem? {{{(10x^2 - 30x + 20) /( x^2 - 1)}}}
Algebra
->
Polynomials-and-rational-expressions
-> SOLUTION: How do I do this problem? {{{(10x^2 - 30x + 20) /( x^2 - 1)}}}
Log On
Algebra: Polynomials, rational expressions and equations
Section
Solvers
Solvers
Lessons
Lessons
Answers archive
Answers
Click here to see ALL problems on Polynomials-and-rational-expressions
Question 8437
:
How do I do this problem?
Answer by
bonster(299)
(
Show Source
):
You can
put this solution on YOUR website!
<--(x-1) cancels out