SOLUTION: I need to multiply the fraction: 2x^2-x-3/3x^2+7x+4 * 3x^2-11x-20/4x^2-9 Please help!

Algebra ->  Polynomials-and-rational-expressions -> SOLUTION: I need to multiply the fraction: 2x^2-x-3/3x^2+7x+4 * 3x^2-11x-20/4x^2-9 Please help!       Log On


   



Question 84078: I need to multiply the fraction: 2x^2-x-3/3x^2+7x+4 * 3x^2-11x-20/4x^2-9
Please help!

Answer by jim_thompson5910(35256) About Me  (Show Source):
You can put this solution on YOUR website!
Start with the given expression

Factor the first numerator 2x%5E2-x-3
ERROR Algebra::Solver::Engine::invoke_solver_noengine: solver not defined for name 'quadratic_factoring'.
Error occurred executing solver 'quadratic_factoring' .


--------------------------------------------------------------------------------------------


Factor the first denominator 3x%5E2-11x-20
ERROR Algebra::Solver::Engine::invoke_solver_noengine: solver not defined for name 'quadratic_factoring'.
Error occurred executing solver 'quadratic_factoring' .


--------------------------------------------------------------------------------------------


Factor the second numerator 3x%5E2%2B7x%2B4
ERROR Algebra::Solver::Engine::invoke_solver_noengine: solver not defined for name 'quadratic_factoring'.
Error occurred executing solver 'quadratic_factoring' .


--------------------------------------------------------------------------------------------


Factor the second denominator 4x%5E2%2B0x-9
ERROR Algebra::Solver::Engine::invoke_solver_noengine: solver not defined for name 'quadratic_factoring'.
Error occurred executing solver 'quadratic_factoring' .


--------------------------------------------------------------------------------------------




So after factoring everything, we get:



Notice we have these common terms



They divide and cancel out


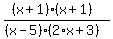
Leaving you with


which is our simplified answer



Now if you're required, multiply the remaining terms

%28%28x+%2B+1%29%28x+%2B+1%29%29%2F%28%28x+-+5%29%282%2Ax+%2B+3%29%29
Final Answer (if you are required to multiply them back together):


So basically the original expression



simplifies to this expression

%28x%5E2+%2B+2%2Ax+%2B+1%29%2F%282%2Ax%5E2+-+7%2Ax+-+15%29



Check:

Here's a way to check if you simplified it right. Simply graph the original expression
Original expression:




Graph of :


and graph the simplified expression

Simplified Expression:

%28x%5E2+%2B+2%2Ax+%2B+1%29%2F%282%2Ax%5E2+-+7%2Ax+-+15%29

Graph of %28x%5E2+%2B+2%2Ax+%2B+1%29%2F%282%2Ax%5E2+-+7%2Ax+-+15%29:


and you'll notice that the two equations plot the same curve (if they were on the same graph, they would overlap each other). Since this shows that the two equations are equivalent, this verifies our answer.