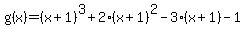
SOLUTION: Let f(x)=x^3+2x^2-3x-1. Write a function g such that g(x)=f(x+1)
Algebra
->
Polynomials-and-rational-expressions
-> SOLUTION: Let f(x)=x^3+2x^2-3x-1. Write a function g such that g(x)=f(x+1)
Log On
Algebra: Polynomials, rational expressions and equations
Section
Solvers
Solvers
Lessons
Lessons
Answers archive
Answers
Click here to see ALL problems on Polynomials-and-rational-expressions
Question 839575
:
Let f(x)=x^3+2x^2-3x-1. Write a function g such that g(x)=f(x+1)
Answer by
LinnW(1048)
(
Show Source
):
You can
put this solution on YOUR website!