SOLUTION: P has degree 3 and zeros 2 and i. find a polynomial that satisfies the given conditions. use real numbers only
Algebra
->
Polynomials-and-rational-expressions
-> SOLUTION: P has degree 3 and zeros 2 and i. find a polynomial that satisfies the given conditions. use real numbers only
Log On
Algebra: Polynomials, rational expressions and equations
Section
Solvers
Solvers
Lessons
Lessons
Answers archive
Answers
Click here to see ALL problems on Polynomials-and-rational-expressions
Question 835396
:
P has degree 3 and zeros 2 and i. find a polynomial that satisfies the given conditions. use real numbers only
Answer by
Fombitz(32388)
(
Show Source
):
You can
put this solution on YOUR website!
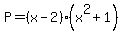
Complex roots always come in complex conjugate pairs so if
is a root then so is
.