SOLUTION: Complete factor the polynomial P(x) shown below: P(x)=x^4+x^3+2x^2+4x-8
Algebra
->
Polynomials-and-rational-expressions
-> SOLUTION: Complete factor the polynomial P(x) shown below: P(x)=x^4+x^3+2x^2+4x-8
Log On
Algebra: Polynomials, rational expressions and equations
Section
Solvers
Solvers
Lessons
Lessons
Answers archive
Answers
Click here to see ALL problems on Polynomials-and-rational-expressions
Question 835384
:
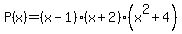
Complete factor the polynomial P(x) shown below:
P(x)=x^4+x^3+2x^2+4x-8
Answer by
Fombitz(32388)
(
Show Source
):
You can
put this solution on YOUR website!