SOLUTION: complete factorization of 2x^2-2x-24
Algebra
->
Polynomials-and-rational-expressions
-> SOLUTION: complete factorization of 2x^2-2x-24
Log On
Algebra: Polynomials, rational expressions and equations
Section
Solvers
Solvers
Lessons
Lessons
Answers archive
Answers
Click here to see ALL problems on Polynomials-and-rational-expressions
Question 830462
:
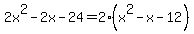
complete factorization of 2x^2-2x-24
Answer by
Fombitz(32388)
(
Show Source
):
You can
put this solution on YOUR website!