SOLUTION: Please help me solve this problem {{{ x^4-1 }}}

Algebra ->  Polynomials-and-rational-expressions -> SOLUTION: Please help me solve this problem {{{ x^4-1 }}}      Log On


   



Question 826795: Please help me solve this problem +x%5E4-1+
Answer by MathLover1(20850) About Me  (Show Source):
You can put this solution on YOUR website!

+x%5E4-1+.......I guess you need to simplify it and write as a product



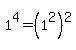
+x%5E4-1+.......you can write x%5E4 as %28x%5E2%29%5E2 and 1 as 1%5E4=+%281%5E2%29%5E2
%28x%5E2%29%5E2-%281%5E2%29%5E2...now use the "difference of squares" formula
+%28x%5E2-1%5E2%29%28x%5E2%2B1%5E2%29+ ......use the "difference of squares" formula ones again
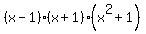
+%28x-1%29%28x%2B1%29%28x%5E2%2B1%29+