SOLUTION: Subtract: (2)/(x^2-4) - (x)/(x-3)(x-2) I know that for this problem you would have to find a common denominator for each.

Algebra ->  Polynomials-and-rational-expressions -> SOLUTION: Subtract: (2)/(x^2-4) - (x)/(x-3)(x-2) I know that for this problem you would have to find a common denominator for each.      Log On


   



Question 826454: Subtract:
(2)/(x^2-4) - (x)/(x-3)(x-2)
I know that for this problem you would have to find a common denominator for each.

Answer by jsmallt9(3758) About Me  (Show Source):
You can put this solution on YOUR website!
%282%29%2F%28x%5E2-4%29+-+%28x%29%2F%28%28x-3%29%28x-2%29%29
To find the lowest common denominator (LCD), factor the denominators:
x%5E2-4+=+%28x%2B2%29%28x-2%29
%28x-3%29%28x-2%29 is already factored.

The LCD will contain all the factors of both denominators. Looking at the factored denominators we should be able to see that the LCD would be:
(x+2)(x-3)(x-2)
(Note: Even though both denominators have a factor of (x-2) we only use one (x-2) in the LCD. We would only use a factor more than once if a single denominator had more than one such factor.)

Looking at the LCD and at the factored denominators ...
%282%29%2F%28%28x%2B2%29%28x-2%29%29+-+%28x%29%2F%28%28x-3%29%28x-2%29%29
... we should be able to see which factors of the LCD each denominator is "missing", if any. For the first fraction, the denominator is missing (x-3) and the second fraction's denominator is missing (x+2). So we now know what to multiply each fraction by:

Multiplying we get:

Note that I've left the denominators un-multiplied. The reason for this will soon be obvious.)
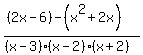
Subtracting:
%28%282x-6%29-+%28x%5E2%2B2x%29%29%2F%28%28x-3%29%28x-2%29%28x%2B2%29%29
Note the use of parentheses. Not using them, especially when subtracting, is a source of many errors.
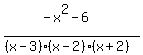
%28-x%5E2-6%29%2F%28%28x-3%29%28x-2%29%28x%2B2%29%29

Next we try to reduce the fraction. Reducing fractions involves finding factors of the numerator and denominator and then canceling factors that are common to both the numerator and denominator, if any. I postponed multiplying the denominators until now because at this point we still want to see the factors of the denominator.

Unfortunately the only way to factor the numerator is to factor out 1 or -1. Either way, there are no common factors so this fraction will not reduce. The answer above may be acceptable. But your teach may want you to multiply out the denominator. If so, then I'll leave that up to you.