Question 825731: Find all zeros of the function f(x)=x^2(x-3)(x^3-8)
Answer by jsmallt9(3759) (Show Source):
You can put this solution on YOUR website! 
Finding zeros of a polynomial usually involves factoring the polynomial. This function is already partially factored so some of our work has already been done.
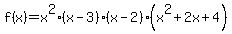
The factor at the end, , is a difference of cubes, . So we can use the difference of cubes pattern, , to factor it:

The last factor will not factor further. But it is a quadratic so we can use the quadratic formula to find its roots:

Simplifying...










which is short for:
or 
These are two of the roots of f(x).
We will get the remaining roots from the other factors:

The other roots will be the values for x that make a factor zero. For the first factor, , we get a root of x = 0. And since x is a factor twice in , zero counts as a root twice! (This is called a double root.)
For the other factors we should get roots of x = 3 and x = 2.
Altogether, the roots of f(x) are: 0, 0, 2, 3, and 
P.S. This is a polynomial, not a rational function. Please post in an appropriate category.
|
|
|