SOLUTION: x^2+7x+4 divided by x-3
Algebra
->
Polynomials-and-rational-expressions
-> SOLUTION: x^2+7x+4 divided by x-3
Log On
Algebra: Polynomials, rational expressions and equations
Section
Solvers
Solvers
Lessons
Lessons
Answers archive
Answers
Click here to see ALL problems on Polynomials-and-rational-expressions
Question 82267
:
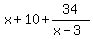
x^2+7x+4 divided by x-3
Answer by
jim_thompson5910(35256)
(
Show Source
):
You can
put this solution on YOUR website!
To divide this, we can use polynomial long division
So after dividing, we get
which is in remainder format
remainder 34