SOLUTION: I submitted these questions a few days ago and got no response. This is due no later than tonite please help.... 1. Simplify the rational expression: x2 – 6x + 5 x2 – 25

Algebra ->  Polynomials-and-rational-expressions -> SOLUTION: I submitted these questions a few days ago and got no response. This is due no later than tonite please help.... 1. Simplify the rational expression: x2 – 6x + 5 x2 – 25       Log On


   



Question 81393: I submitted these questions a few days ago and got no response. This is due no later than tonite please help....
1. Simplify the rational expression:
x2 – 6x + 5
x2 – 25


2. Divide:
x2 – 9x + 8 ÷ x2 – 1
2x – 4 2x + 2


3. Simplify:
√[64x10y2z46]


4. Perform the indicated operations:
4√[18] + 2√[32] –√[8]


Answer by ankor@dixie-net.com(22740) About Me  (Show Source):
You can put this solution on YOUR website!
1. Simplify the rational expression:
x^2 – 6x + 5
Can be factored to:
(x-5)(x-1)
:
x^2 – 25
This is the difference of squares, can be factored to:
(x-5)(x+5)
:
:
2. Divide:
%28x%5E2-9x%2B8%29%2F%28x%5E2-1%29
:
%28%28x-8%29%28x-1%29%29%2F%28%28x-1%29%28x%2B1%29%29 = %28%28x-8%29%29%2F%28%28x%2B1%29%29; canceled the (x-1)'s
:
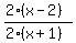
%282x-4%29%2F%282x%2B2%29
:
Factor out 2 and you have:
%282%28x-2%29%29%2F%282%28x%2B1%29%29 = %28x-2%29%2F%28x%2B1%29; canceled 2
:
:
3. Simplify:
√[64x10y2z46]; I can't decipher what you mean here

4. Perform the indicated operations:
4sqrt%2818%29+%2B+2sqrt%2832%29+-+sqrt%288%29
:
Factor to show the squares inside the radicals, then extract the sqrts
4sqrt%289%2A2%29+%2B+2sqrt%2816%2A2%29+-+sqrt%284%2A2%29 = 4%2A3%2Asqrt%282%29+%2B+2%2A4%2Asqrt%282%29+-+2%2Asqrt%282%29 = 12%2Asqrt%282%29+%2B+8%2Asqrt%282%29+-+2%2Asqrt%282%29
:
Notice we have like terms (all sqrt(2)) so we can just add them up:
18%2Asqrt%282%29; the final result