Question 812402: Solve the following equation:
4x^5+12x^4-x-3=0
--------------------------
Do you use synthetic division to solve this problem?
Answer by jsmallt9(3758) (Show Source):
You can put this solution on YOUR website! 
To solve an equation like this you need to factor the left side. Any method of factoring may be used. Synthetic division could be used. But another factoring method, factoring by grouping, is probably faster and easier.
When factoring by grouping I like to start by changing any subtractions into equivalent additions:

Now we group:

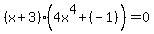
Next we factor out the greatest common factor, GCF, from each group:

Since the second factors in each "half" are the same, we can factor that out:

The second factor is a difference of squares so we can use that pattern, , to factor it:


Now that the equation is fully factored we can use the Zero Product Property to proceed:
or or 
Solving each of these...
From we get x = -3.
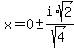
From ...


This equation says that is a negative number, -1/2. There are no real numbers show squares are negative. So if you are only looking for real solutions then we will get none from this equation (and you can skip to the third equation above). However, if you are looking for all solutions, including complex ones, then...

(Note: The "0" is there only because algebra.com will not let me use the "plus or minus" symbol without a number in front of it.) Now we can "pull" out the "i":



Now we rationalize:




which is short for
or 
From :







which is short for
or 
So the solutions to the equation are:
x = -3 or or or, if we want complex solutions, too, or
|
|
|