SOLUTION: Simplify x^2 - x - 6 x^2 + 6x + 8 ___________ . ___________ x^2 - 16 x^2 + x - 12

Algebra ->  Polynomials-and-rational-expressions -> SOLUTION: Simplify x^2 - x - 6 x^2 + 6x + 8 ___________ . ___________ x^2 - 16 x^2 + x - 12      Log On


   



Question 80021: Simplify
x^2 - x - 6 x^2 + 6x + 8
___________ . ____________
x^2 - 16 x^2 + x - 12

Answer by ankor@dixie-net.com(22740) About Me  (Show Source):
You can put this solution on YOUR website!
:
%28%28x%5E2+-+x+-+6%29%29%2F%28%28x%5E2-16%29%29 * %28%28x%5E2+%2B+6x+%2B+8%29%29%2F%28%28x%5E2+%2B+x+-+12%29%29
:
Note that everything here will factor:
%28%28x%2B2%29%28x-3%29%29%2F%28%28x-4%29%28x%2B4%29%29 * %28%28x%2B4%29%28x%2B2%29%29%2F%28%28x%2B4%29%28x-3%29%29
:
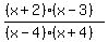
Cancel out 1 pair of (x+4)'s and the (x-3)'2 leave you with:
%28%28x%2B2%29%29%2F%28%28x-4%29%28x%2B4%29%29 * (x+2) = %28%28x%2B2%29%28x%2B2%29%29%2F%28%28x-4%29%28x%2B4%29%29
:
You could also write it:
%28%28x%2B2%29%5E2%29%2F%28%28x%5E2-16%29%29
:
Which is simpler? I'm not sure.