SOLUTION: I have no idea how to type in math problems - (i.e., Squared, etc.) My problem is finding the LCD and steps to solve reational expressions. 7x + 1 divided by x squared minus 9

Algebra ->  Polynomials-and-rational-expressions -> SOLUTION: I have no idea how to type in math problems - (i.e., Squared, etc.) My problem is finding the LCD and steps to solve reational expressions. 7x + 1 divided by x squared minus 9       Log On


   



Question 79394: I have no idea how to type in math problems - (i.e., Squared, etc.)
My problem is finding the LCD and steps to solve reational expressions.
7x + 1 divided by x squared minus 9 (minus) 5 divided by x minus 3
Thank you!

Answer by ankor@dixie-net.com(22740) About Me  (Show Source):
You can put this solution on YOUR website!
:
Assume you mean:
:
%28%287x%2B1%29%29%2F%28%28x%5E2-9%29%29 - 5%2F%28%28x-3%29%29
:
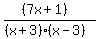
You should recognize that (x^2-9) is the difference of squares and can be factored
%28%287x%2B1%29%29%2F%28%28x%2B3%29%28x-3%29%29 - 5%2F%28%28x-3%29%29
:
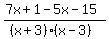
The common denominator would be (x-3)(x+3) so you would have:
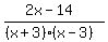
%28%287x%2B1%29-5%28x%2B3%29%29%2F%28%28x%2B3%29%28x-3%29%29 = %287x+%2B+1+-+5x+-+15%29%2F%28%28x%2B3%29%28x-3%29%29 = %282x+-+14%29%2F%28%28x%2B3%29%28x-3%29%29 or %282x+-+14%29%2F%28%28x%5E2+-+9%29%29