SOLUTION: The directions say:Compute and simplify each of the following rational expressions. 7/(n-4)+8/(4-n) So far I understand that I need to make the denominators the same so I have:

Algebra ->  Polynomials-and-rational-expressions -> SOLUTION: The directions say:Compute and simplify each of the following rational expressions. 7/(n-4)+8/(4-n) So far I understand that I need to make the denominators the same so I have:      Log On


   



Question 779540: The directions say:Compute and simplify each of the following rational expressions.
7/(n-4)+8/(4-n)
So far I understand that I need to make the denominators the same so I have:
7/(n-4)+8/-(n+4)
But I am not sure if im supposed to multiply (-1) to 7/(n-4) and the numerator 8 from the other fraction.
The teacher showed us what to do but I forget.

Answer by josmiceli(19441) About Me  (Show Source):
You can put this solution on YOUR website!
+7+%2F+%28+n-4+%29+%2B+8+%2F+%28+4-n+%29+
Multiply the top and bottom of the 2nd
term by +-1+
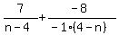
+7+%2F+%28+n-4+%29+%2B+%28-8%29+%2F+%28-1%2A%28+4-n+%29%29+
+7+%2F+%28+n-4+%29+%2B+%28-8%29+%2F+%28+n-4+%29+
You can factor out +1%2F%28+n-4+%29+
+%28+1%2F%28+n-4+%29+%29%2A%28+7+-+8+%29+
+-1+%2F+%28+n-4+%29+
You can get rid of the negative sign also
+1+%2F+%28-1%2A%28+n-4+%29%29+
+1+%2F+%28+4-n+%29+ answer
OK