SOLUTION: I am just having trouble figuring out exactly where to start I have gotten a little ways a couple of different tries. 7x+2 is over 14x-3 and likewise on the other side of the equat

Algebra ->  Polynomials-and-rational-expressions -> SOLUTION: I am just having trouble figuring out exactly where to start I have gotten a little ways a couple of different tries. 7x+2 is over 14x-3 and likewise on the other side of the equat      Log On


   



Question 774882: I am just having trouble figuring out exactly where to start I have gotten a little ways a couple of different tries. 7x+2 is over 14x-3 and likewise on the other side of the equation. I have tried multiplying both sides by the 2x+3 denominator. Then I have all of these variables on the left and only x-8 on the right. I am having trouble making sense of this. I feel like I am close I just need a bit of a nudge. Thanks
7x + 2 = x – 8
14x – 3 2x+3

Answer by mananth(16946) About Me  (Show Source):
You can put this solution on YOUR website!

%287x%2B2%29%2F%2814x-3%29=%28x-8%29%2F%282x-3%29

Multiply by (14x-3)(2x+3) on both sides

we get
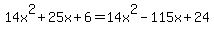
(7x+2)(2x+3)=(x-8)((14x-3)

14x%5E2%2B25x%2B6=14x%5E2-115x%2B24
14x^2 cancel off
25x+6=-115x+24
140x=20
/140
x=20/140
x=1/7