SOLUTION: I need help on long division by binomials This question is in the Summary section of Chapter 5 and should be done the long way. (x^2 + 9x -1) divided by (x + 5) Thanks!!!

Algebra ->  Polynomials-and-rational-expressions -> SOLUTION: I need help on long division by binomials This question is in the Summary section of Chapter 5 and should be done the long way. (x^2 + 9x -1) divided by (x + 5) Thanks!!!       Log On


   



Question 77299This question is from textbook elementary algebra
: I need help on long division by binomials
This question is in the Summary section of Chapter 5 and should be done the long way.
(x^2 + 9x -1) divided by (x + 5)
Thanks!!!

This question is from textbook elementary algebra

Answer by jim_thompson5910(35256) About Me  (Show Source):
You can put this solution on YOUR website!
what number multiplied by x gets you x^2? The answer is x. Place x over x^2. Now multiply by x and place it underneath x^2. Multiply x by 5 and place it under 9x

    __x___________
x+5 | x^2 + 9x - 1           
      x^2 + 5x
    ----------------
            

Now subtract the second line from the first


    __x___________
x+5 | x^2 + 9x - 1           
    -(x^2 + 5x)
    ----------------
            4x - 1


Now what number multiplied by x gives you 4x? The answer is 4. Place this number over 9x and multiply it by (x+5). Place the product of 4(x+5) under 4x -1 and subtract

    __x___+_4_______
x+5 | x^2 + 9x - 1           
    -(x^2 + 5x)
    ----------------
            4x - 1
          -(4x + 20)
          -----------
                -21

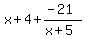
So our quotient is x%2B4%2B%28-21%29%2F%28x%2B5%29 in other words:
%28x%5E2+%2B+9x+-+1%29%2F%28x%2B5%29=x%2B4%2B%28-21%29%2F%28x%2B5%29