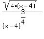
SOLUTION: (√(4x-16))/((x-4)^(3/4))

Algebra ->  Polynomials-and-rational-expressions -> SOLUTION: (√(4x-16))/((x-4)^(3/4))      Log On


   



Question 769974: (√(4x-16))/((x-4)^(3/4))
Found 2 solutions by MathLover1, Alan3354:
Answer by MathLover1(20850) About Me  (Show Source):
Answer by Alan3354(69443) About Me  (Show Source):
You can put this solution on YOUR website!
sqrt%284x-16%29%2F%28%28x-4%29%5E%283%2F4%29%29
= sqrt%284x-16%29%2Aroot%284%2C%28x-4%29%29%2F%28x-4%29
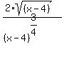
= 2sqrt%28x-4%29%2Aroot%284%2C%28x-4%29%29%2F%28x-4%29
= 2root%284%2C%28x-4%29%5E2%29%2Aroot%284%2C%28x-4%29%29%2F%28x-4%29
= 2root%284%2C%28x-4%29%5E3%29%2F%28x-4%29
========================
You might be criticized if you leave a radical in the denominator.