SOLUTION: please help me with the rational expression. thanks 12x^2-4x-5/8x^2-6x-5

Algebra ->  Polynomials-and-rational-expressions -> SOLUTION: please help me with the rational expression. thanks 12x^2-4x-5/8x^2-6x-5      Log On


   



Question 76941: please help me with the rational expression. thanks
12x^2-4x-5/8x^2-6x-5

Answer by jim_thompson5910(35256) About Me  (Show Source):
You can put this solution on YOUR website!
First factor the numerator
ERROR Algebra::Solver::Engine::invoke_solver_noengine: solver not defined for name 'quadratic_factoring'.
Error occurred executing solver 'quadratic_factoring' .


So our numerator becomes
%28%282x%2B1%29%286x-5%29%29%2F%288x%5E2-6x-5%29
Now factor the denominator
ERROR Algebra::Solver::Engine::invoke_solver_noengine: solver not defined for name 'quadratic_factoring'.
Error occurred executing solver 'quadratic_factoring' .


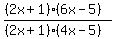
So our denominator becomes
%28%282x%2B1%29%286x-5%29%29%2F%28%282x%2B1%29%284x-5%29%29
%28cross%282x%2B1%29%286x-5%29%29%2F%28cross%282x%2B1%29%284x-5%29%29 cancel like terms
%286x-5%29%2F%284x-5%29 Here's the simplified result