SOLUTION: can i get help adding and subtracting 2x^2+3x over x^2-2x-63 plus 7-x over x^2-2x-63 minus x^2-3x+21 over x^2-2x-63 =

Algebra ->  Polynomials-and-rational-expressions -> SOLUTION: can i get help adding and subtracting 2x^2+3x over x^2-2x-63 plus 7-x over x^2-2x-63 minus x^2-3x+21 over x^2-2x-63 =      Log On


   



Question 76390: can i get help adding and subtracting
2x^2+3x
over
x^2-2x-63
plus
7-x
over
x^2-2x-63
minus
x^2-3x+21
over
x^2-2x-63
=

Answer by chitra(359) About Me  (Show Source):
You can put this solution on YOUR website!
The given expression is:




Since the denominators is the same for all the 3 expressions, the LCM will be the smae. That is %28x%5E2+-+2x+-+63%29

Hence, the given expression can be written as:


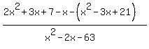
%282x%5E2+%2B+3x+%2B+7+-+x+-+%28x%5E2+-+3x+%2B+21%29%29%2F%28x%5E2+-+2x+-+63%29

This can be written as:

%282x%5E2+%2B+3x+%2B+7+-+x+-+x%5E2+%2B+3x+-+21%29%2F%28x%5E2+-+2x+-+63%29

Simplifying this further, we get:


%28x%5E2+%2B+5x+-+14%29%2F%28x%5E2+-+2x+-+63%29

Here, both the numerator and the denominator can be factored and can be written as:

%28x%28x+%2B+7%29+-+2%28x+%2B+7%29%29%2F%28x%28x+-+9%29+%2B+7%28x+-+9%29%29

This can be written as:

%28x+-+2%29%28x+%2B+7%29%2F%28x+%2B+7%29%28x+-+9%29


Here we observe that (x + 7) is present both in the numerator and the denominator.

%28x+%2B+2%29%2A+cross%28%28x+%2B+7%29%29%2F%28x+-+9%29%2Fcross%28%28x+%2B+7%29%29


Hence, we remain with

%28x+%2B+2%29%2F%28x+-9%29

Thus, the solution.