SOLUTION: hi i need help with Simplifying Rational Expresstions. I have 3 problems that i need help with and would be very grateful if you could do them and explain them as best you can.

Algebra ->  Polynomials-and-rational-expressions -> SOLUTION: hi i need help with Simplifying Rational Expresstions. I have 3 problems that i need help with and would be very grateful if you could do them and explain them as best you can.       Log On


   



Question 75459: hi i need help with Simplifying Rational Expresstions. I have 3 problems that i need help with and would be very grateful if you could do them and explain them as best you can.
12. (2x-14)/ ( 3x^2-21x)
13. (x^2-1)/(2x^2+x-1)
14. (2x^2+12x+18)/(x^2-x-12)
Thank You!
P.S : The Textbook im using is Algebra 1 Concepts and Skills by McDougal. Pg 685 Chapter 11 Test. #s 12,13, and 14.


Answer by funmath(2933) About Me  (Show Source):
You can put this solution on YOUR website!
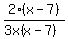
12. (2x-14)/ ( 3x^2-21x)
2%28x-7%29%2F%283x%28x-7%29%29
2%2Across%28%28x-7%29%29%2F%283x%2Across%28%28x-7%29%29%29
highlight%282%2F3x%29
:
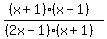
13. (x^2-1)/(2x^2+x-1)
%28%28x%2B1%29%28x-1%29%29%2F%28%282x-1%29%28x%2B1%29%29
%28cross%28%28x%2B1%29%29%28x-1%29%29%2F%28%282x-1%29%2Across%28%28x%2B1%29%29%29
highlight%28%28x-1%29%2F%282x-1%29%29
:
14. (2x^2+12x+18)/(x^2-x-12)
%282%28x%5E2%2B6x%2B9%29%29%2F%28%28x-4%29%28x%2B3%29%29
%282%28x%2B3%29%28x%2B3%29%29%2F%28%28x-4%29%28x%2B3%29%29
%282%28x%2B3%29%2Across%28%28x%2B3%29%29%29%2F%28%28x-4%29%2Across%28%28x%2B3%29%29%29
highlight%282%28x%2B3%29%2F%28x-4%29%29
:
Happy Calculating!!!!