SOLUTION: (-5/2a^3) ^3

Algebra ->  Polynomials-and-rational-expressions -> SOLUTION: (-5/2a^3) ^3      Log On


   



Question 74072This question is from textbook
: (-5/2a^3) ^3 This question is from textbook

Answer by bucky(2189) About Me  (Show Source):
You can put this solution on YOUR website!
%28-5%2F2a%5E3%29+%5E3
.
There are a couple of ways that you can do this problem. Remember that the definition of
cubing an expression. It means multiplying by itself 3 times as in:
.
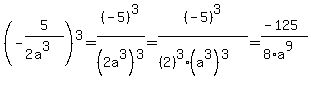
. The numerator
multiplies out to -5%2A-5%2A-5+=+-125 and the denominator to %282%2A2%2A2%2Aa%5E3%2Aa%5E3%2Aa%5E3%29=+8a%5E9
Combining these results gives: -125%2F%288a%5E9%29
.
The short hand method says that when you raise a fraction to a power, both the numerator
and denominator get raised to that power. So:
.

.
Hope this helps you to understand this problem.