SOLUTION: How do I multiply the rational expression 32/b^4 X 3b^2? I can't seem to figure it out. I've tried multiple things. I'm also not quite understanding the factoring step of the probl

Algebra ->  Polynomials-and-rational-expressions -> SOLUTION: How do I multiply the rational expression 32/b^4 X 3b^2? I can't seem to figure it out. I've tried multiple things. I'm also not quite understanding the factoring step of the probl      Log On


   



Question 739466: How do I multiply the rational expression 32/b^4 X 3b^2? I can't seem to figure it out. I've tried multiple things. I'm also not quite understanding the factoring step of the problem. Help would be greatly appreciated!
Answer by josgarithmetic(39631) About Me  (Show Source):
You can put this solution on YOUR website!
Are you asking this?
%2832%2Fb%5E4%29%283b%5E2%29?

The b%5E2%2Fb%5E2 is the same as 1, so this cancels in order to simplify.

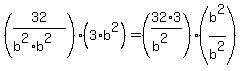
%2832%2F%28b%5E2%2Ab%5E2%29%29%283%2Ab%5E2%29=%2832%2A3%2F%28b%5E2%29%29%28b%5E2%2Fb%5E2%29
=32%2A3%2Fb%5E2
=highlight%2896%2Fb%5E2%29.