Question 73374: I have learned how to completely factor polynomials such as:
x^2+7x-30
(x+10)(x-3)
but I get lost when there are variables instead of number. I need to find all the positive values for "k" in this problem:
x^2+x-k
Answer by psbhowmick(878) (Show Source):
You can put this solution on YOUR website! 
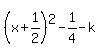
= 
= 
= 
=
This can be factorised if is a perfect square.
Thus, those positive values of k which render a perfect square are the reqd. values of k.
So, k = 2, 6, 12, 20, 30, etc.
[Note that the difference between the consecutive terms form an A.P.: 4,6,8,10,.... ]
|
|
|