SOLUTION: I need help with putting y=x^4+3x^3-4x^2 in factored form And write a polynomial function in standard form with the given zeros -2,-1,3

Algebra ->  Polynomials-and-rational-expressions -> SOLUTION: I need help with putting y=x^4+3x^3-4x^2 in factored form And write a polynomial function in standard form with the given zeros -2,-1,3      Log On


   



Question 733676: I need help with putting y=x^4+3x^3-4x^2 in factored form
And write a polynomial function in standard form with the given zeros -2,-1,3

Answer by MathLover1(20850) About Me  (Show Source):
You can put this solution on YOUR website!

y=x%5E4%2B3x%5E3-4x%5E2...factor out x%5E2
y=x%5E2%28x%5E2%2B3x-4%29.....write 3x as 4x-1x
y=x%5E2%28x%5E2%2B4x-1x-4%29....group
y=x%5E2%28%28x%5E2%2B4x%29-%281x%2B4%29%29
y=x%5E2%28x%28x%2B4%29-%281x%2B4%29%29
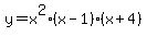
y=x%5E2%28x-1%29%28x%2B4%29

2.
if given zeros x%5B1%5D=-2,x%5B2%5D=-1,x%5B3%5D=3
y=%28x-x%5B1%5D%29%28x-x%5B2%5D%29%28x-x%5B3%5D%29
y=%28x-%28-2%29%29%28x-%28-1%29%29%28x-3%29
y=%28x%2B2%29%28x%2B1%29%28x-3%29
y=%28x%5E2%2Bx%2B2x%2B2%29%28x-3%29
y=%28x%5E2%2B3x%2B2%29%28x-3%29
y=x%5E3%2B3x%5E2%2B2x-3x%5E2-9x-6
y=x%5E3%2Bcross%283x%5E2%29%2B2x-cross%283x%5E2%29-9x-6
y=x%5E3%2B2x-9x-6
y=x%5E3-7x-6