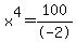
SOLUTION: Solve the equation. -2x^(4)-100=0
Algebra
->
Polynomials-and-rational-expressions
-> SOLUTION: Solve the equation. -2x^(4)-100=0
Log On
Algebra: Polynomials, rational expressions and equations
Section
Solvers
Solvers
Lessons
Lessons
Answers archive
Answers
Click here to see ALL problems on Polynomials-and-rational-expressions
Question 732679
:
Solve the equation.
-2x^(4)-100=0
Answer by
MathLover1(20850)
(
Show Source
):
You can
put this solution on YOUR website!
or
or
so, you have four complex solutions