SOLUTION: i don't know how to factor or simplify this (x^2-5x-4)/(-3x^3+15x^2-12) can you help

Algebra ->  Polynomials-and-rational-expressions -> SOLUTION: i don't know how to factor or simplify this (x^2-5x-4)/(-3x^3+15x^2-12) can you help      Log On


   



Question 724943: i don't know how to factor or simplify this (x^2-5x-4)/(-3x^3+15x^2-12) can you help
Answer by jsmallt9(3758) About Me  (Show Source):
You can put this solution on YOUR website!
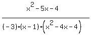
%28x%5E2-5x-4%29%2F%28-3x%5E3%2B15x%5E2-12%29
The numerator will not factor. But the denominator will. First the greatest common factor (GCF). The GCF is 3. But for reasons I will explain shortly, I am going to factor out -3 instead:
%28x%5E2-5x-4%29%2F%28%28-3%29%28x%5E3-5x%5E2%2B4%29%29
By factoring out a -3, I have a positive leading coefficient in x%5E3-5x%5E2%2B4. Factoring with a positive leading coefficient is easier IMHO. Now we factor x%5E3-5x%5E2%2B4. This has too many terms for the factoring patterns or for trinomial factoring. Since I don't see how to factor this by grouping, I will resort to the only method left: Factoring by trial and error of the possible rational roots.

Fortunately, 1 is always a possible rational root and 1 actually turns out to be a root:
1  |   1   -5   0   4   <== Note the zero for the missing x term
----        1  -4  -4
      ----------------
       1   -4  -4   0
With a remainder (in the lower right corner) of zero, 1 is a root and (x-1) is a factor. Also, the rest of the bottom row tells us what the other factor is. The "1 -4 -4" translates into x%5E2-4x-4. So now our denominator is:
%28x%5E2-5x-4%29%2F%28%28-3%29%28x-1%29%28x%5E2-4x-4%29%29
The x%5E2-4x-4 factor will not factor further so we are finished factoring the denominator.

With the fraction fully factored we can see that there are no common factors we could cancel. So the fraction will not reduce/simplify.

P.S. If the numerator had been x%5E2-5x%2B4 then it would factor and we could reduce the fraction:
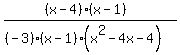
%28%28x-4%29%28x-1%29%29%2F%28%28-3%29%28x-1%29%28x%5E2-4x-4%29%29
%28%28x-4%29cross%28%28x-1%29%29%29%2F%28%28-3%29cross%28%28x-1%29%29%28x%5E2-4x-4%29%29
%28x-4%29%2F%28%28-3%29%28x%5E2-4x-4%29%29
or
%28x-4%29%2F%28-3x%5E2%2B12x%2B12%29