SOLUTION: Hello Can someone give me the steps for this type of question.I already have the answer for it from my teacher but im still having a hard time in trying to understand the steps.

Algebra ->  Polynomials-and-rational-expressions -> SOLUTION: Hello Can someone give me the steps for this type of question.I already have the answer for it from my teacher but im still having a hard time in trying to understand the steps.       Log On


   



Question 717871: Hello Can someone give me the steps for this type of question.I already have the answer for it from my teacher but im still having a hard time in trying to understand the steps.
1.)3(x+2)^2(x-3)^2-(x+2)^3(2)(x-3) divided by (x-3)^3

Answer by jsmallt9(3758) About Me  (Show Source):
You can put this solution on YOUR website!
%283%28x%2B2%29%5E2%28x-3%29%5E2-%28x%2B2%29%5E3%282%29%28x-3%29%29%2F%28x-3%29%5E3
This is a fraction and if we're lucky we will be able to find common factors to cancel. If you can avoid it, you do not want to simplify the numerator (many multiplications and then adding like terms, if any) and then try to factor the big mess you end up with. It's much easier if you notice that there are common factors between 3%28x%2B2%29%5E2%28x-3%29%5E2 and %28x%2B2%29%5E3%282%29%28x-3%29%29 They both have two factors of (x+2) and they both have a factor of (x-3). We can factor these common factors out. (This is a little like what you do at a certain stage of factoring by grouping.) Factoring these common factors out we get:
%28%28x%2B2%29%5E2%28x-3%29%283%28x-3%29-%28x%2B2%29%282%29%29%29%2F%28x-3%29%5E3
Simplifying 3(x-3)-(x+2)(2):
%28%28x%2B2%29%5E2%28x-3%29%28%283x-9%29-%282x%2B4%29%29%29%2F%28x-3%29%5E3
%28%28x%2B2%29%5E2%28x-3%29%283x-9-2x-4%29%29%2F%28x-3%29%5E3
%28%28x%2B2%29%5E2%28x-3%29%28x-13%29%29%2F%28x-3%29%5E3
Now that the numerator is factored, we do indeed see a factor that will cancel: the (x-3) on top will cancel one of the three (x-3)'s on the bottom. This leaves us with:
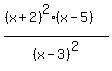
%28%28x%2B2%29%5E2%28x-5%29%29%2F%28x-3%29%5E2
I hope this is the answer you have because this fraction will not reduce any further. If it is not the answer you have then you must multiply out the numerator and denominator and add any like terms in each. I'll leave that up to you.

P.S. In response to the comment in you "thank you": Of course, you are right. It is x-13. Good catch! I've corrected it above.