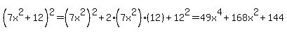
SOLUTION: hi i also need help with this question 49x^4 + 168x^2 + 144
Algebra
->
Polynomials-and-rational-expressions
-> SOLUTION: hi i also need help with this question 49x^4 + 168x^2 + 144
Log On
Algebra: Polynomials, rational expressions and equations
Section
Solvers
Solvers
Lessons
Lessons
Answers archive
Answers
Click here to see ALL problems on Polynomials-and-rational-expressions
Question 716438
:
hi i also need help with this question
49x^4 + 168x^2 + 144
Answer by
KMST(5328)
(
Show Source
):
You can
put this solution on YOUR website!