SOLUTION: Question #1 - Add the fractional polynomials 2 ................ 3 ----- .... + ----------- --- x+3 ........ x^2+7x+12 Question #2 - multiply the fractional polynomials 2x-3

Algebra ->  Polynomials-and-rational-expressions -> SOLUTION: Question #1 - Add the fractional polynomials 2 ................ 3 ----- .... + ----------- --- x+3 ........ x^2+7x+12 Question #2 - multiply the fractional polynomials 2x-3       Log On


   



Question 703308: Question #1 - Add the fractional polynomials
2 ................ 3
----- .... + ---------------
x+3 ........ x^2+7x+12
Question #2 - multiply the fractional polynomials
2x-3 .............. x^2+4x+3
-------- .... x ... --------------
(x+3)^2 ............ 4x^2-9
Thanks! I've tried working them through, but I don't know where to start and I really need the answers (it's not homework, btw)! Please help!

Answer by ankor@dixie-net.com(22740) About Me  (Show Source):
You can put this solution on YOUR website!
Question #1 - Add the fractional polynomials
2%2F%28%28x%2B3%29%29 + 3%2F%28%28x%5E2%2B7x%2B12%29%29
the 2nd denominator cannot be factored; the common denominator is (x+3)(x^2+7x+12), so be have
%282%28x%5E2%2B7x%2B12%29%2B3%28x%2B3%29%29%2F%28%28x%2B3%29%28x%5E2%2B7x%2B12%29%29
%28%282x%5E2%2B14x%2B24%2B3x%2B9%29%29%2F%28%28x%2B3%29%28x%5E2%2B7x%2B12%29%29 = %28%282x%5E2%2B17x%2B33%29%29%2F%28%28x%2B3%29%28x%5E2%2B7x%2B12%29%29; about all you can do with it
:
:
Question #2 - multiply the fractional polynomials
%28%282x-3%29%29%2F%28%28x%2B3%29%5E2%29 * %28%28x%5E2%2B4x%2B3%29%29%2F%28%284x%5E2-9%29%29
Factor
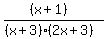
%28%282x-3%29%29%2F%28%28x%2B3%29%28x%2B3%29%29 * %28%28x%2B3%29%28x%2B1%29%29%2F%28%282x%2B3%29%282x-3%29%29
Cancel (2x-3)s and (x+3)s, then multiply
1%2F%28%28x%2B3%29%29 * %28%28x%2B1%29%29%2F%28%282x%2B3%29%29 = %28%28x%2B1%29%29%2F%28%28x%2B3%29%282x%2B3%29%29 = %28%28x%2B1%29%29%2F%28%282x%5E2%2B9x%2B9%29%29