SOLUTION: Add, using the verticl method.
5x^2 + 2x - 4, x^2 - 2x - 3, and 2x^2 - 4x - 3
I am a little confused on how the verticle method is used and would appreciate any help you coul
Algebra ->
Polynomials-and-rational-expressions
-> SOLUTION: Add, using the verticl method.
5x^2 + 2x - 4, x^2 - 2x - 3, and 2x^2 - 4x - 3
I am a little confused on how the verticle method is used and would appreciate any help you coul
Log On
Question 69770This question is from textbook Beginning Algebra
: Add, using the verticl method.
5x^2 + 2x - 4, x^2 - 2x - 3, and 2x^2 - 4x - 3
I am a little confused on how the verticle method is used and would appreciate any help you could offer. Thanks. This question is from textbook Beginning Algebra
You can put this solution on YOUR website! Add, using the verticl method.
5x^2 + 2x - 4, x^2 - 2x - 3, and 2x^2 - 4x - 3
I am a little confused on how the verticle method is used and would appreciate any help you could offer. Thanks.
Answer: All right. Adding the expressions is not as hard as you think it is. Seriously. It's just that you have to line it up. Watch.
Think of this as regular addition.
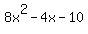
Look at all of the first of the . There is 5x^2, x^2 (which equals 1x^2) and 2x^2. So. 5 + 1 + 2 = 8. So first part is 8x^2.
Now look at the x. There is 2x, -2x, and -4x. 2 - 2 - 4= -4. So second part is
-4x.
Now the last part. Easy. There is -4, -3, and -3. -4 - 3 - 3= -10. So last part is -10.
Now if we combine all three together, it is 8x^2 -4x -10.Now you asked me of vertical way. Let's do it.
____________________ .I really hope you get this...typing this is very difficult.
---
I like math. Do you?