Question 694376: x^4-2x^3+3x^2-2x+1
How to solve without using trial and error method ??
Answer by KMST(5328) (Show Source):
You can put this solution on YOUR website! 
Maybe you just wanted to factor the polynomial .
Or maybe you wanted to find its zeros, to solve 
I'll try both.
FINDING ZEROS:
We can use a trick that I (dimly) remember from high school.
Obviously , so is not a zero of the polynomial.
We can divide by (or by ) without fear.
When looking for zeros,
<--> <--> 
We can do a change of variable.
If we define , then <--> 
We can re-write in terms of as
<--> <--> <--> 
Going back to , remembering we defined ,
, and multiplying by we get
<--> 
Applying the quadratic formula we solve to get
FACTORING (no tricks):
We realize that it is so very symmetrical that if some non-zero is a zero of 
--> --> --> 
So the 4 complex zeros of the polynomial will come in pairs with and with ,
and the full factoring of the polynomial would be

Multiplying pairs we get

Maybe we could find and and have a partial factoring with real coefficients.
It would be

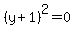
If it must be for all ,
then and <--> 
The solution to is ,
so substituting into 
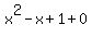
the factoring with real coefficients is
or 
The factoring with real coefficients is done.
To factor further we need to go beyond real numbers.
Since does not have real solutions,
any linear factor would have an imaginary coefficient.
|
|
|